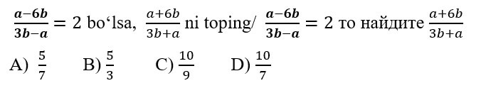
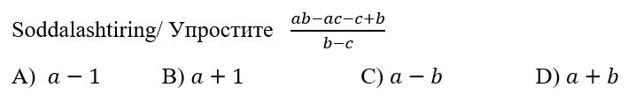
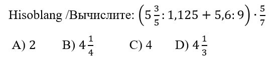
1234567891011121314151617181920 7-SINF MATEMATIKA FANIDAN ONLINE OLIMPIADA 7-sinf o'quvchilari uchun matematika fanidan online olimpiada savollari Manba: oo.uzedu.uz Test savollar soni: 20 ta Bajarish uchun ajratilgan vaqt: 60 daqiqa Barcha ma'lumotlarni to'g'ri kiriting. 1. . A B C D 4 2. . A B C D 2 3. . A B C D 2 4. . A B C D 4 5. . A B C D 2 6. . A B C D 1 7. . A B C D 3 8. . A B C D 2 9. . A B C D 1 10. . A B C D 1 11. . A B C D 1 12. . A B C D 1 13. . A B C D 3 14. . A B C D 4 15. . A B C D 4 16. . A B C D 4 17. . A B C D 4 18. . A B C D 3 19. . A B C D 1 20. . A B C D 2 Facebook Twitter VKontakte 0% Перезапустить тест