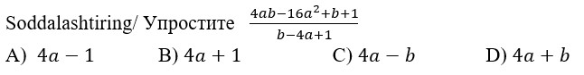
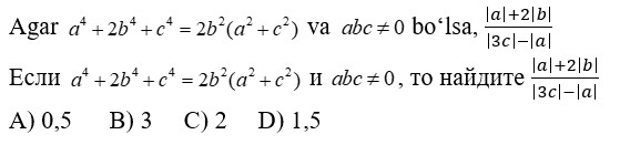
1234567891011121314151617181920 8-sinf matematika fanidan online olimpiada 8-sinf o'quvchilari uchun matematika fanidan online olimpiada savollari Manba: oo.uzedu.uz Test savollar soni: 20 ta Bajarish uchun ajratilgan vaqt: 60 daqiqa Barcha ma'lumotlarni to'g'ri kiriting. . A B C D . A B C D . A B C D . A B C D . A B C D . A B C D . A B C D . A B C D . A B C D . A B C D . A B C D . A B C D . A B C D . A B C D . A B C D . A B C D . A B C D . A B C D . A B C D . A B C D Facebook Twitter VKontakte 0% Перезапустить тест