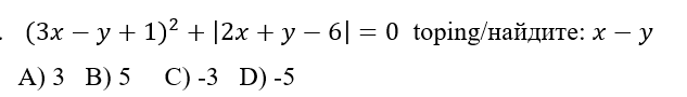
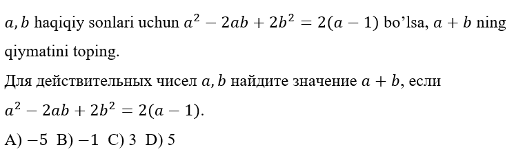
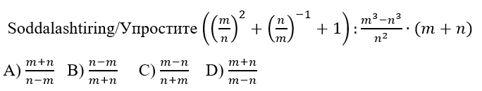
1234567891011121314151617181920 8-SINF O‘QUVCHILARI UCHUN MATEMATIKA FANIDAN ONLAYN OLIMPIADA ?Test savollar soni: 20 ta ⏱Bajarish uchun ajratilgan vaqt: 60 daqiqa ?TEST SAVOLLARI ?? O'ZBEK HAMDA ??RUS TILLARIDA Barcha ma'lumotlarni to'g'ri kiriting. . A B C D . A B C D . A B C D . A B C D . A B C D . A B C D . A B C D . A B C D . A B C D . A B C D . A B C D . A B C D . A B C D . A B C D . A B C D . A B C D . A B C D . A B C D . A B C D . A B C D Facebook Twitter VKontakte 0% Перезапустить тест