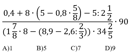
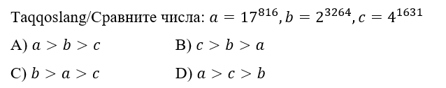
1234567891011121314151617181920 7-sinf matematika fanidan online olimpiada №4 7-sinf o'quvchilari uchun mo'ljallangan online olimpiada savollari №4 Test savollari soni: 20 ta Bajarish uchun ajratilgan vaqt: 60 daqiqa Sizga omad yor bo'lsin! Barcha ma'lumotlarni to'g'ri kiriting. . A B C D . A B C D . A B C D . A B C D . A B C D . A B C D . A B C D . A B C D . A B C D . A B C D . A B C D . A B C D . A B C D . A B C D . A B C D . A B C D . A B C D . A B C D . A B C D . A B C D Facebook Twitter VKontakte 0% Restart quiz